研究发现,每周吃蛋≥1次,痴呆风险下降47%!
时间:2025-12-12
来源:蛋品世界WECD
美国最新研究发现,鸡蛋或许还是一把“防痴呆钥匙”——每周吃一次以上鸡蛋的老人,阿尔茨海默症风险可降近一半!

鸡蛋除了是平价又优质的蛋白质食物,最新研究还发现,吃鸡蛋有助于预防大脑退化——每周至少吃一次蛋以上的老人,能降低约47%罹患阿尔茨海默症的发病风险。
而且常吃蛋的老人,大脑内的异常的毒性蛋白质,例如「β-淀粉状蛋白」和「Tau蛋白」的累积,都明显比不常吃蛋的人低。
大家知道,阿尔茨海默病是一种神经退行性疾病,随着人口老龄化,它的患病率还在不断上升。我们日常吃的鸡蛋,其实富含很多对大脑健康非常重要的营养成分,比如胆碱、Omega-3脂肪酸,还有叶黄素。
最近有一些研究发现,经常吃鸡蛋,可能会让人在一些语言类认知测试中表现得更好。不过呢,鸡蛋到底能不能降低阿尔茨海默病或者阿尔茨海默型痴呆的发病风险,研究者对此开展研究。

这项研究,主要是想看看,鸡蛋摄入量和阿尔茨海默型痴呆发病风险之间,到底有没有关联。
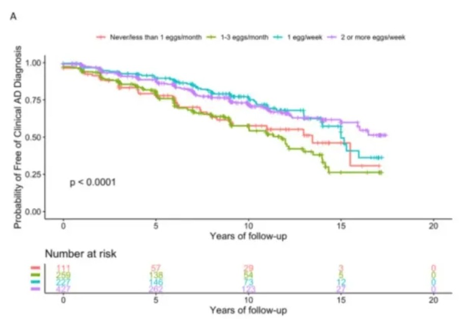
发表于Journal of Nutrition杂志美国塔夫茨大学的研究显示,受试者针对平均年龄 81.4 岁的 1024 人。 所有参与者在调查开始时都没有认知退化的诊断。 参与者被要求详细回答他们的日常饮食,并在接下来的平均 6.7 年间追踪他们的健康状况。
结果显示,280 人即 27%的人发展成阿尔茨海默型痴呆。 然而,吃蛋每周一次以上的人与每月至少一次没吃蛋的人相比,发展风险低了 47%。说明经常吃鸡蛋的人,患阿尔茨海默型痴呆和相关病理变化的风险更低。而且,这种保护作用里有一部分,可能是通过饮食中的胆碱发挥的。


进一步值得注意的是,研究小组检查了 578 名参与者的脑部并进行了分析,结果发现经常食用鸡蛋的人,其大脑内的异常蛋白质如「β-淀粉状蛋白」和「Tau 蛋白」的累积较少。
研究团队认为关键可能是鸡蛋里的胆碱这种营养素。 胆碱是神经传递物质乙酰胆碱的原料,已知与记忆、学习和专注力等有深刻的关联。 胆碱对于维护脑细胞膜的结构也是不可或缺的。 鸡蛋,尤其是蛋黄中含有丰富的胆碱,一颗鸡蛋就可以摄取约 1 天所需量的 25%。 此外,蛋黄还含有「Omega-3 脂肪酸」,这也被认为对维护脑部健康有益。
至于担心蛋里的胆固醇而不敢吃蛋的人可能过虑了,最新研究显示,饱和脂肪酸才是提高胆固醇的元凶。
1、凡注明为其它媒体来源的信息,均为转载自其它媒体,转载并不代表本网赞同其观点,也不代表本网对其真实性负责。
2、您若对该内容有疑问,请即与本网联系,本网将迅速给您回应并做处理。
3、本网站将尽力保证服务的及时性、客观性,但不保证服务一定能满足用户的要求,也不保证服务不会受中断。本网站所提供的所有信息和数据服务仅限于用户参考,不对用户的商业运作做任何具体性指导。用户因参考本网站提供的信息所带来的一切风险及法律后果由用户自行承担。